从数据上传到论文生成,查看 AI 辅助科研的完整过程。

透明报告:21分钟复现Esan等人2025年帕金森病预测研究,7种模型+SHAP分析

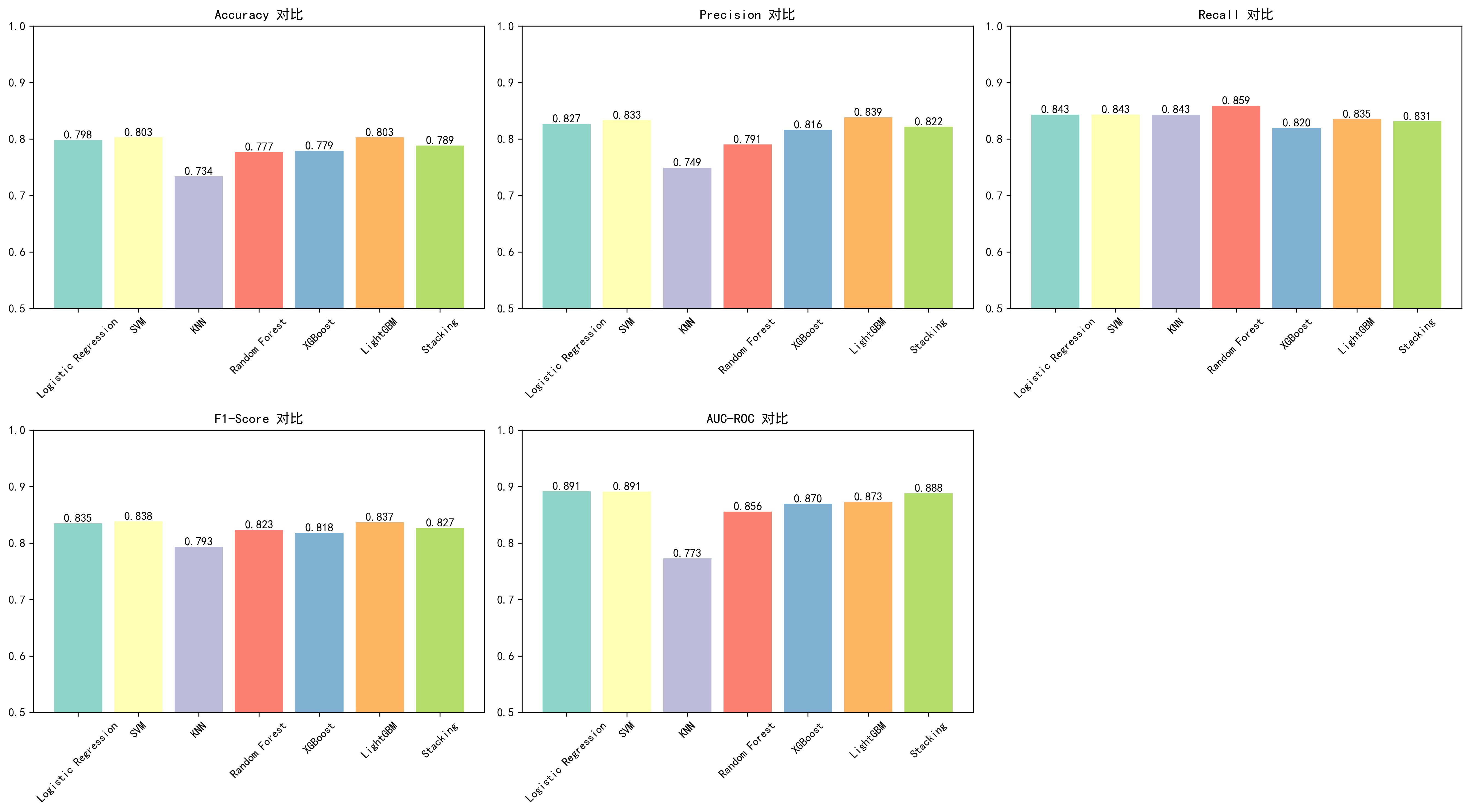
复现Esan等人2025年发表于Current Research in Translational Medicine的帕金森病预测研究,基于2105名患者33个特征,6种机器学习模型+Stacking集成+SHAP可解释性分析,21分钟完成全部分析,花费0.54元

透明报告:40分钟验证Scientific Reports吸烟预测论文,AI的LightGBM(AUC=0.8993)超过原论文RF(AUC=0.84),核心SHAP特征排序Top 5完全一致

AI用40分钟、不到10元完成4万条体检数据的吸烟状态预测分析,LightGBM的AUC达到0.8993,超过原论文Random Forest的0.84。血红蛋白是最强预测因子。

透明报告:15分钟验证Scientific Reports教育学ML论文,7种模型对比,SHAP特征重要性Top 3一致,XGBoost R²超越原论文。

用AI在15分钟内验证一篇IF 4.6的教育学机器学习论文,7种回归模型预测学生考试成绩,核心特征重要性排序Top 3完全一致。

1000条数据,6种模型,39个产出文件,从上传CSV到论文PDF全自动

透明报告:使用OneSmallStep复现BioMed Research International肺癌检测论文,71分钟完成6种ML模型训练和SHAP分析,39个产出文件

上传同一份Kaggle肺癌患者数据集(1000条记录),AI在71分钟内训练6种模型、生成39个产出文件和完整论文。特征选择9/9一致,4种模型准确率反超原论文。

上传一个CSV,输入一段研究指令,73分钟后拿到38个文件:论文、代码、图表、审计报告,全部可下载

透明报告:5110人卒中数据集,5种模型训练+SHAP分析,73分钟完成。核心发现:年龄、血糖、BMI排序与原论文一致,但不同的类别不平衡处理策略导致测试AUC显著差距

AI用73分钟训练5种模型复现卒中预测研究,AdaBoost测试AUC 0.796,SHAP分析揭示年龄、血糖水平和BMI是三大关键风险因子

透明报告:基于27901条学生数据验证Vu et al. (2025)的6种ML模型抑郁预测方法,所有模型AUC超0.91

4分钟完成6种机器学习模型训练和SHAP可解释性分析,基于27901条学生心理健康数据复现抑郁症预测研究

上传25万人心血管数据,AI全自动完成统计分析、图表生成、文献检索和论文撰写。附完整过程和产出文件。

上传同一份CDC BRFSS数据集(253,680人),AI在32分钟内训练4种模型、生成33个产出文件和完整论文。核心发现一致:BMI、年龄、健康状况是前三预测因子。

透明报告:AI用32分钟验证了25万人糖尿病风险因子研究,核心结论一致(BMI/年龄/健康状况为Top 3),但模型性能差距显著(AUC 0.78 vs 0.96),根因是过采样方法差异。

基于CDC BRFSS 2015年253,680例真实数据,AI全自动完成数据清洗、统计建模、图表生成和论文撰写,耗时38分钟。
对10个数据集、1000+统计数据点的系统性验证,公开我们的审计方法和结果。

基于巴基斯坦5,500家医疗机构横断面数据,AI全自动完成资源配置、服务质量与费用的公私立对比研究,耗时48分钟。

上传巴基斯坦医疗机构数据,AI自动完成公私立对比分析、图表生成和论文撰写。从CSV到PDF,全程无需写一行代码。

基于37,407条推文的四分类情感分析研究,对比逻辑回归、SVM、XGBoost三种模型,揭示线性模型在稀疏文本数据上的优势。

上传Twitter数据集,AI自动完成NLP预处理、多模型对比、可视化和论文撰写。不用写代码,不用调参,直接出论文。